感受极限
对于$\text{y=x}$,随着$\text{X}$的无限增大,$\text{y}$的值也会无穷增大
对于$y=x^{2}$,随着$\text{X}$的无限增大,$\text{y}$的值也会无穷增大
对于$\mathbf{y}=\frac1x$,随着$\text{X}$的无限增大,$\text{y}$的值无限接近于0
对于$\mathbf{y}={\frac{\mathbf{x}}{\mathbf{x}+1}}$,随着$\text{X}$的无限增大,$\text{y}$的值无限接近于1

对于$\text{y=x}$,$y=x^{2}$和$\mathbf{y}=\frac1x$的极限结果,都比较好理解
我们来看$\mathbf{y}={\frac{\mathbf{x}}{\mathbf{x}+1}}$是如何计算的
首先在$\text{X}$无限大时$\text{x+1}$也是无限大的,两者都是$+\infty $,
因此在$\text{X}$无限大时,$\text{x=x+1}$是成立的,分子分母相同,求出来就是1(其实这么做不是正确的,因为你不可能写一大段文字描述而且写文字描述也很不数学)
$\therefore x\rightarrow+\infty $时,
标准表示为:$\operatorname*{lim}_{x\rightarrow+\infty}\frac{x}{x+1}=1$
好了,简单求极限就完成了
系统研究极限
| 考点 | 重要程度 | 占分 | 题型 |
|---|---|---|---|
| 极限 | 必考 | 3~6 | 选择、填空 |
| 极限的性质 | ★★ | 0~3 | 选择、填空 |
| 极限的运算法则 | 必考 | 基础运算 | 选择、填空、大题 |




关于教材内容的一个提醒:$1 ,-1 ,1 ,\cdots,( -1 )^{ n+1} ,\cdots ;$这个数列在1和-1之间跳动,没有极限,但是有界
证明极限
方法:
$\forall\varepsilon>0\text{,存在正整数}N\text{,当}n>N\text{时,就有}\left|x_n-A\right|<\varepsilon\text{。}$
简单来说,你先估计一下他的极限(也有可能题目已经给你,要你证明)记作A
然后用通项减去这个A,绝对值要在你给定的这个$\varepsilon $范围内
然后证明反表示的式子是确定的实数
即可
例如
证明数列 的极限是1.
证明:
函数极限
上面求的是数列的极限,现在我们要求函数的极限








自变量$x$趋于有限值$x_0$时的函数极限
看起来又很莫名其妙了
就是要求这个
$\lim_{x\to x_0}f(x):x$向某个值靠近时,$f(x)$向哪个值靠近
$x\to0^{-}$就是x从左侧靠近0(左极限),$x\to0^{+}$就是x从右侧靠近0(右极限),$x\to0^{}$就是左极限和右极限都求一遍,相等就有不相等就没有
自变量$x$趋于无穷大时的函数极限
定义:如果当$x\to\infty$时,函数$f(x)$无限趋近于某个确定的常数$A$,则称$A$为函数$f(x)$
在$x\to\infty$时的极限,记为 或 简而言之:向无穷大靠近时,向哪个值靠近
求函数极限
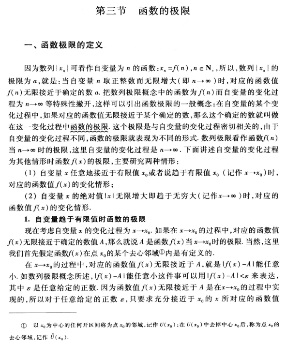
代入法
直接将x的趋近代入式子,然后计算
注意事项

对于代入无法算(0:0)这种应当考虑化简(分母有理化)再求极限
计算$\lim _x\to 1\frac {x- 1}{\sqrt {x+ 3}- 2}$
解:原式$=\lim_x\to1\frac{(x-1)(\sqrt{x+3}+2)}{(\sqrt{x+3}-2)(\sqrt{x+3}+2)}$
$=\lim_{x\to1}\frac{(x-1)(\sqrt{x+3}+2)}{x-1}$
$=\operatorname*{lim}(\sqrt{x+3}+2)=4$

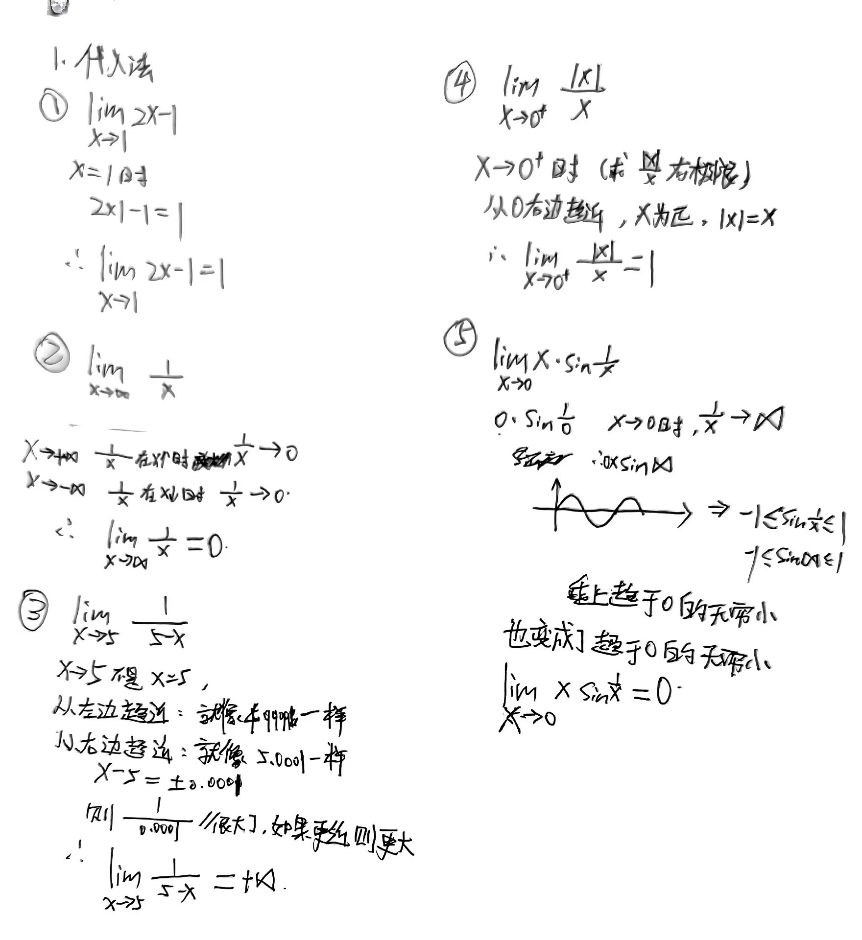
找主干
比如
上下极限都是无穷,就要找主要矛盾了
在正无穷和负无穷$x^{3}$对于式子的影响比$x^{2}$和$x$大多了
因此$3x^2+x$和$4x^{2}-x$直接不看
也就是把$x^{3}$给提出来,就像这样
所以答案是$\frac56$
一个问题:如果改为趋近于0呢?
那就是
这个时候$x$对于式子的影响比$x^{2}$和$x^{3}$大多了,所以提$x$
总结
先找影响最大的项,然后极限就是这两项的比值
这个是趋近于无穷和具体值都通用的
刷题

